<
Reposting Gallery
Kerja Kursus Psv 2017
jenis jenis kegiatan ekonomi masyarakat dalam bentuk peta pikiran
jenis jenis penyakit jantung koroner
jenis jenis penyakit tulang
jenis jenis penyakit kulit di malaysia
jenis jenis pengangkutan awam di malaysia
jenis jenis kegiatan ekonomi masyarakat indonesia
jenis jenis pengangguran perniagaan tingkatan 4
jenis jenis pencemaran lingkungan dan cara mengatasinya
<
Hoki Bola Baling Dan Pendiidkan Seni Contoh Membuat Kerja Kursus Psv 3 2017
Contoh Kertas Kerja Pendidikan Seni Visual Lowongan Kerja Terbaru
Pelaksaan Kerja Kursus Psv Spm 2017 Selamat Datang Ke Smk Saas Kajang
Hoki Bola Baling Dan Pendiidkan Seni Contoh Membuat Kerja Kursus Psv 3 2017
Rancangan Aktiviti Tahunan Panitia Pendidikan Seni Visual
Contoh Lukisan Soalan Spm 2017 O Soalan
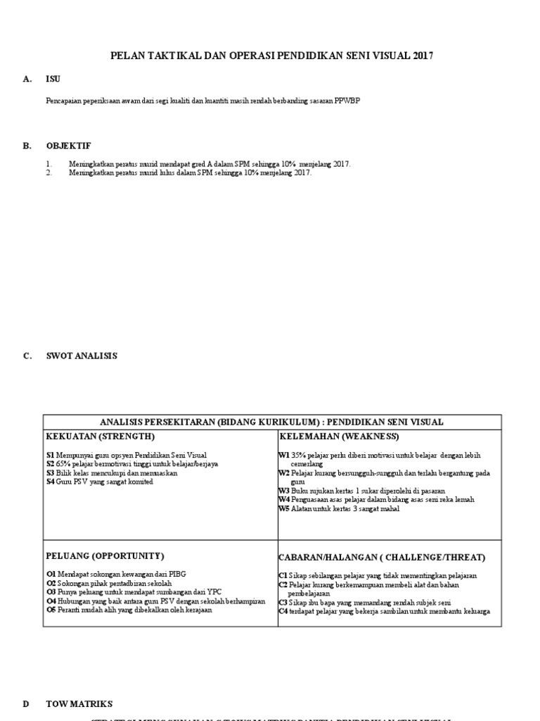
P Strategik Psv 2017
Pelaksaan Kerja Kursus Psv Spm 2017 Selamat Datang Ke Smk Saas Kajang
Pendidikan Seni Visual Bengkel Krsv 2017 Pak21fckl Edufluencer Cute766
Tips Spm A Psv Contoh Kerja Kursus Folio Pendidikan Seni Visual Youtube
Contoh Soalan Seni Visual Spm Kertas 1 Soalan Br
Contoh Folio Seni Visual Tingkatan 2 Halloween Costume Ideas
Seni Visual Manual Kk Projek 9703
2 Senarai Semak Tugasan Krsv 2017
Soalan Pendidikan Seni Visual Spm 2017 Kedai Seni Lukis Facebook
Contoh Lukisan Soalan Spm 2017 Soalan Bo
Pendidikan Seni Visual Home Facebook
Rph Folio 1
Seni Visual Manual Kk Projek 9703
Jadual Kerja Kursus Pendidikan Seni Visual Psv Spm 2018 Pendidikanmalaysia Com
Source :
pinterest.com
Random Posts
How To Calculate Interest On Capital
How To Calculate Dividends Formula
How To Calculate Mileage Claim In Malaysia
How To Calculate Tax Payable
How To Calculate Dividend Payout Rate
How To Calculate Loan Interest Formula
How To Calculate Interest
How To Calculate Tax Rate In Excel
How To Calculate Dividends With Revenue And Expenses
How To Calculate Kwsp Contribution
How To Calculate Dividend Payout
How To Calculate Tax Rate
How To Calculate Income Tax Malaysia
How To Calculate Dividend Yield Percentage
How To Calculate Stamp Duty Malaysia
How To Calculate Epf Interest
How To Calculate Monthly Car Payment
How To Calculate Grab Incentive Malaysia
How To Calculate Income Tax
How To Calculate Rpgt
How To Calculate Tax Estimate For Cp204
How To Calculate Dividend Income
How To Calculate Hire Purchase Interest
How To Calculate Interest Expense
How To Calculate Effective Income Tax Rate